Njoroge, Joyce N;
Sanders van Wijk, Sandra;
Austin, Thomas R;
Brody, Jennifer A;
Sitlani, Colleen M;
Hamerton, Emily;
Bis, Joshua;
... HERMES Consortium; + view all
(2026)
Large-Scale Proteomic Profiling of Incident Heart Failure and Its Subtypes in Older Adults.
Circulation: Genomic and Precision Medicine
, Article e005031. 10.1161/CIRCGEN.124.005031.
Preview |
Text
Lumbers_CGPM Manuscript Final- Proteomic Profiling of Incident Heart Failure_Njoroge_Kizer_072225-JK112125Clean.pdf Download (500kB) | Preview |
Preview |
Text
Lumbers_CGPM Supplemental Materials Combined Clean- Proteomic Profiling of Incident Heart Failure_Njoroge-T4_Final.pdf Download (1MB) | Preview |
Preview |
Text
Lumbers_CIRCCVG-2024-Suppl Tables 1-6, 8-9, 11-23, 25-28-T4_Final.pdf Download (9MB) | Preview |
Preview |
Text
Fig4_HF_chs_ages_LM_forestplot_041924.pdf - Accepted Version Download (5kB) | Preview |
Preview |
Text
Fig5_HF_Hermes_forestplot_EKH041924.pdf - Accepted Version Download (5kB) | Preview |
Preview |
Text
Fig2B_HFrEF_volcanoplot_EKH041924.pdf - Accepted Version Download (248kB) | Preview |
Preview |
Text
Fig1_HF_volcanoplot_EKH041924.pdf - Accepted Version Download (223kB) | Preview |
Preview |
Text
Fig 6_CHS_AGES_MRforestplot_HFsubtypes_EKH041924.pdf - Accepted Version Download (60kB) | Preview |
Preview |
Text
Fig2A_HFpEF_volcanoplot_EKH041924.pdf - Accepted Version Download (247kB) | Preview |
Preview |
Text
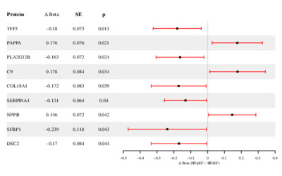
Fig. 3. Forest Plot_HF Subtype Proteins-042224.pdf - Accepted Version Download (60kB) | Preview |
Abstract
BACKGROUND: Heart failure (HF) and its main subtypes, heart failure with preserved ejection fraction (HFpEF) and heart failure with reduced ejection fraction (HFrEF), impose an enormous health burden on elders. Assessment of the circulating proteome to illuminate pathogenesis could open new opportunities for treatment. METHODS: We conducted a plasma proteomics screen of incident HF and its subtypes in 2 older population-based cohorts, the CHS (Cardiovascular Health Study) and the AGES-RS (Aging, Gene/Environment Susceptibility-Reykjavik Study). The 2 studies used SomaLogic platforms, with 4404 aptamers in common. Multivariable Cox models were fit to evaluate individual-protein associations with HF, HFpEF, and HFrEF separately in each cohort, and study-specific associations were combined by fixed-effects meta-analysis. Replication was performed in the ARIC (Atherosclerosis Risk in Communities) cohort. Two-sample Mendelian randomization of HF and its subtypes, along with colocalization analysis, was performed to support causal inference. RESULTS: Among 8599 participants, 1590 experienced incident HF (536 HFpEF, 471 HFrEF). There were 119 proteins associated with HF, 15 proteins with HFpEF, and 11 proteins with HFrEF, at Bonferroni-corrected significance. Among these, 9 have never previously been identified for cardiovascular diseases, and another 61 represent new associations with incident HF or its subtypes. Of these 70 proteins, 55 of the 66 available replicated externally. Mendelian randomization analysis revealed 7 proteins genetically associated with HF at nominal significance; 2 were separately associated with HFpEF, and another 2 with HFrEF. Seven of these 9 proteins (NCDP1, APOF, LMAN2 [lectin, mannose-binding 2], ADIPOQ [adiponectin], CD14 [cluster of differentiation 14], ARHGAP1 [Rho GTPase-activating protein 1], C9 [complement 9]) showed new, possibly causal associations, although we did not detect evidence for colocalization. CONCLUSIONS: In this large-scale proteomic study involving 3 longitudinal cohorts of older adults, we identified and replicated 55 novel protein markers of HF or its subtypes, and 7 new, possibly causal proteins. These proteins may enhance risk prediction, improve understanding of pathobiology, and help prioritize targets for therapeutic development of these foremost disorders in elders.
| Type: | Article |
|---|---|
| Title: | Large-Scale Proteomic Profiling of Incident Heart Failure and Its Subtypes in Older Adults |
| Location: | United States |
| Open access status: | An open access version is available from UCL Discovery |
| DOI: | 10.1161/CIRCGEN.124.005031 |
| Publisher version: | https://doi.org/10.1161/circgen.124.005031 |
| Language: | English |
| Additional information: | This version is the author accepted manuscript. It has been made open access under the Creative Commons (CC BY) licence under the terms of the UCL Intellectual Property (IP) Policy and UCL Publications Policy. |
| Keywords: | cardiovascular diseases, heart failure, Mendelian randomization analysis, myocardial infarction, proteomics |
| UCL classification: | UCL UCL > Provost and Vice Provost Offices > School of Life and Medical Sciences UCL > Provost and Vice Provost Offices > School of Life and Medical Sciences > Faculty of Population Health Sciences > Institute of Cardiovascular Science UCL > Provost and Vice Provost Offices > School of Life and Medical Sciences > Faculty of Population Health Sciences > Institute of Health Informatics UCL > Provost and Vice Provost Offices > School of Life and Medical Sciences > Faculty of Population Health Sciences > Institute of Health Informatics > Infectious Disease Informatics |
| URI: | https://discovery.ucl.ac.uk/id/eprint/10221244 |
Archive Staff Only
![]() |
View Item |

