Raman, S;
Prince, NJ;
Hoskote, A;
Ray, S;
Peters, MJ;
(2016)
Admission PaO2 and Mortality in Critically Ill Children: A Cohort Study and Systematic Review.
Pediatr Crit Care Med
, 17
(10)
e444-e450.
10.1097/PCC.0000000000000905.
Preview |
Text
Peters_2016_05_26_oxygenationarticle_R3.pdf Download (453kB) | Preview |
Preview |
Image
Peters_Figure 1 - pao2-mortality.tiff Download (373kB) | Preview |
Preview |
Image
Peters_Figure 2- PaO2.smr.tiff Download (260kB) | Preview |
Preview |
Image
Peters_Figure 3 - flowchartsysrev.tiff Download (388kB) | Preview |
Preview |
Image
Peters_Figure 4 - forrestplots.tiff Download (344kB) | Preview |
Abstract
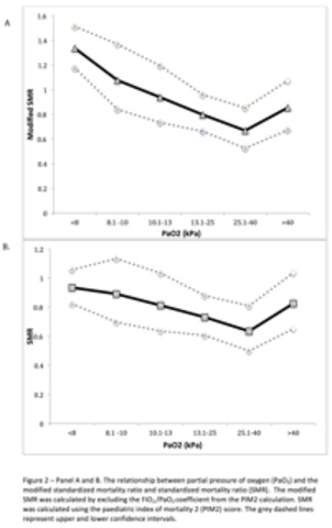
OBJECTIVE: To describe the relationship between PaO2 at intensive care admission and mortality in critically ill children and to review systematically the literature describing this relationship. DESIGN: Cohort study: A review of consecutive tertiary pediatric intensive care admissions (January 2004 to December 2014) in a single center. The relationship between admission Pao2 and crude and standardized mortality was explored using nonlinear regression. Systematic review: A search of MEDLINE (1950 to January 2015), EMBASE (1980 to January 2015), Cochrane and Database of Abstracts of Reviews of Effects databases was undertaken using the following terms: "hyperoxia," "hypoxia," "critically ill children," "pediatric intensive care," "mortality," and/or "survival." SETTING: Tertiary PICU. PATIENTS: Patients younger than 18 years of age. INTERVENTIONS: The association of hyperoxia (PaO2, > 300 torr [40 kPa]) and hypoxia (PaO2, < 60 torr [8 kPa] or peripheral oxygen saturations, < 90%) to mortality in critically ill children was explored. MEASUREMENTS AND MAIN RESULTS: Cohort study: Of 14,321 admissions, 7,410 children had recorded PaO2 and FIO2 at admission. Crude mortality was 7.4% (555/7,410). This varied with admission PaO2 from 15.4% (204/1,324) in the hypoxia group (< 8 kPa) to 5.3% (287/5,385) with normoxia and 9.1% (64/701) in the hyperoxic group (> 40 kPa). Nonlinear regression displayed a "U-shaped" relationship between PaO2 and crude and case-mix adjusted mortality. Systematic review: Fourteen studies and one conference abstract were eligible for inclusion. Eleven studies (n = 5,280) relate to hypoxia with combined odds ratio for death, of 3.13 (95% CI, 1.79-5.48; p < 0.001) compared to normoxia. Six studies (n = 2,012) relate to hyperoxia and suggest no effect on mortality compared to normoxia (odds ratio, 1.15; 95% CI, 0.42-3.17; p = 0.77). CONCLUSIONS: Hypoxia at admission is associated with increased mortality in critically ill children, whereas the association with hyperoxia is less clear. The cohort study demonstrated a U-shaped association between admission PaO2 and mortality. Further examination is needed to explore the effect of hyperoxia upon mortality prediction accuracy.
Archive Staff Only
![]() |
View Item |

