Flanagan, Robert James;
Hunter, Samora;
Obee, Stephen John;
Reeves, Suzanne;
(2023)
Dose, Sex, Ethnicity, Smoking Habit, Age, Body Weight, and Plasma Clozapine and N-Desmethylclozapine (Norclozapine) Concentrations in Clinical Practice.
Journal of Clinical Psychopharmacology
, 43
(2)
pp. 131-138.
10.1097/JCP.0000000000001653.
Preview |
Text (Title page)
Reeves_Revision Title Page.pdf Download (82kB) | Preview |
Preview |
Text (Article)
Reeves_Revision refs numbered changes accepted no title.pdf Download (196kB) | Preview |
Preview |
Text (Figure 1)
Reeves_Figure 1 final.pdf Download (201kB) | Preview |
Preview |
Text (Figure 2)
Reeves_Figure 2 final.pdf Download (53kB) | Preview |
Preview |
Text (Table 1)
Reeves_Table 1 final.pdf Download (131kB) | Preview |
Preview |
Text (Table 2)
Reeves_Table 2 (new) final.pdf Download (62kB) | Preview |
Abstract
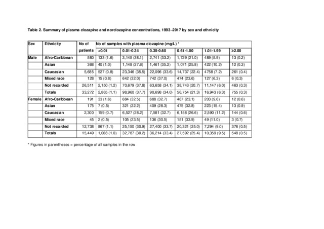
BACKGROUND: Guidance on clozapine dosing in treatment refractory schizophrenia is based largely on data from young adult male White patients. AIM: This study aimed to audit the plasma clozapine and N -desmethylclozapine (norclozapine) concentrations attained in male and female patients of different ethnicity and smoking habit. METHOD: The effect of dose, sex, ethnicity, age, body weight, and smoking habit on plasma clozapine and norclozapine concentrations were studied using data from a therapeutic drug monitoring service, 1993 to 2017. RESULTS: There were 371,610 samples (48,098 patients, 32,855 male). Ethnicity was recorded for 763 Afro-Caribbean, 536 Asian, and 7940 White patients. Males were prescribed significantly higher median doses than females but attained significantly lower median plasma clozapine and norclozapine concentrations. Asian and Afro-Caribbean males were prescribed significantly lower and higher median doses, respectively, than White males but attained significantly higher and lower median plasma clozapine and norclozapine concentrations, respectively. Data from 78,431 samples (23,516 patients) were analyzed using a linear mixed model. The predicted dose to attain a predose plasma clozapine concentration of 0.35 mg/L in a nonsmoking White male aged 40 years, with weight of 70 kg, and plasma clozapine-norclozapine ratio of 1.32 was 344 mg/d (95% confidence interval, 227-526 mg/d). The predicted dose was 33% higher and 20% lower in otherwise analogous Afro-Caribbean and Asian patients, respectively. In all cases, the predicted dose was increased by 36% in smokers and decreased by 22% in females. CONCLUSIONS: Research is needed to further investigate the complex relationships between dose, sex, ethnicity, plasma clozapine and norclozapine concentrations, and clinical outcome such as weight gain.
| Type: | Article |
|---|---|
| Title: | Dose, Sex, Ethnicity, Smoking Habit, Age, Body Weight, and Plasma Clozapine and N-Desmethylclozapine (Norclozapine) Concentrations in Clinical Practice |
| Open access status: | An open access version is available from UCL Discovery |
| DOI: | 10.1097/JCP.0000000000001653 |
| Publisher version: | https://doi.org/10.1097/JCP.0000000000001653 |
| Language: | English |
| Additional information: | This version is the author accepted manuscript. For information on re-use, please refer to the publisher’s terms and conditions. |
| Keywords: | clozapine dose prediction, therapeutic drug monitoring, treatment refractory schizophrenia, cytochrome CYP1A2, harm reduction |
| UCL classification: | UCL UCL > Provost and Vice Provost Offices > School of Life and Medical Sciences UCL > Provost and Vice Provost Offices > School of Life and Medical Sciences > Faculty of Brain Sciences UCL > Provost and Vice Provost Offices > School of Life and Medical Sciences > Faculty of Brain Sciences > Division of Psychiatry UCL > Provost and Vice Provost Offices > School of Life and Medical Sciences > Faculty of Brain Sciences > Division of Psychiatry > Mental Health of Older People |
| URI: | https://discovery.ucl.ac.uk/id/eprint/10161990 |
Archive Staff Only
![]() |
View Item |

