Sangha, G;
Yao, B;
Lunn, D;
Skorupinska, I;
Germain, L;
Kozyra, D;
Parton, M;
... Machado, PM; + view all
(2021)
Longitudinal observational study investigating outcome measures for clinical trials in inclusion body myositis.
Journal of Neurology, Neurosurgery and Psychiatry
10.1136/jnnp-2020-325141.
(In press).
Preview |
Text
Machado_Main Manuscript - JNNP revision - FINAL Feb21 Cleaned with figs and supp.pdf - Accepted Version Download (348kB) | Preview |
Preview |
Text
Machado_Main Manuscript - JNNP revision - FINAL Feb21 Cleaned with figs and supp_Fig1.pdf - Accepted Version Download (13kB) | Preview |
Preview |
Text
Machado_Main Manuscript - JNNP revision - FINAL Feb21 Cleaned with figs and supp_Fig2.pdf - Accepted Version Download (17kB) | Preview |
Preview |
Text
Machado_Main Manuscript - JNNP revision - FINAL Feb21 Cleaned with figs and supp_Fig3.pdf - Accepted Version Download (33kB) | Preview |
Preview |
Text
Machado_Main Manuscript - JNNP revision - FINAL Feb21 Cleaned with figs and supp_Fig4.pdf - Accepted Version Download (12kB) | Preview |
Preview |
Text
Machado_Main Manuscript - JNNP revision - FINAL Feb21 Cleaned with figs and supp_Fig5.pdf - Accepted Version Download (12kB) | Preview |
Preview |
Text
Machado_Main Manuscript - JNNP revision - FINAL Feb21 Cleaned with figs and supp_Supp_Fig.pdf - Accepted Version Download (351kB) | Preview |
Preview |
Text
Machado_Main Manuscript - JNNP revision - FINAL Feb21 Cleaned with figs and supp_Supp_Stat.pdf - Accepted Version Download (191kB) | Preview |
Preview |
Text
Machado_Main Manuscript - JNNP revision - FINAL Feb21 Cleaned with figs and supp_Supp_Tab.pdf - Accepted Version Download (396kB) | Preview |
Abstract
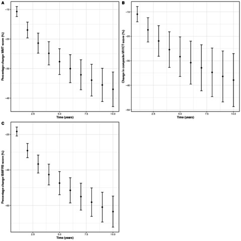
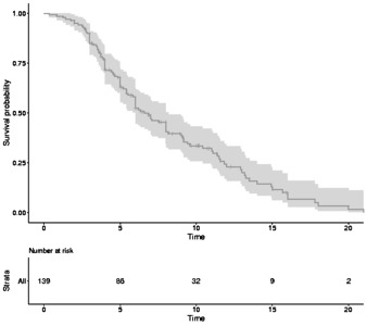
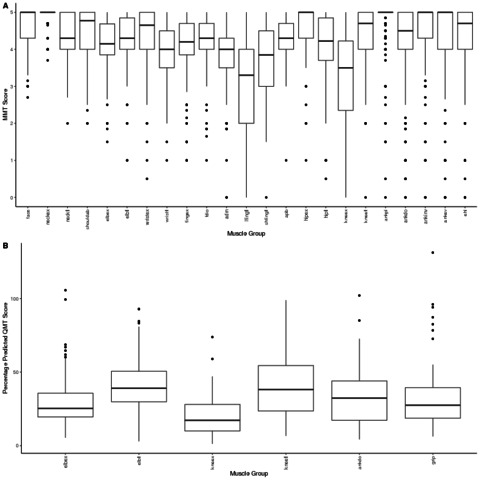
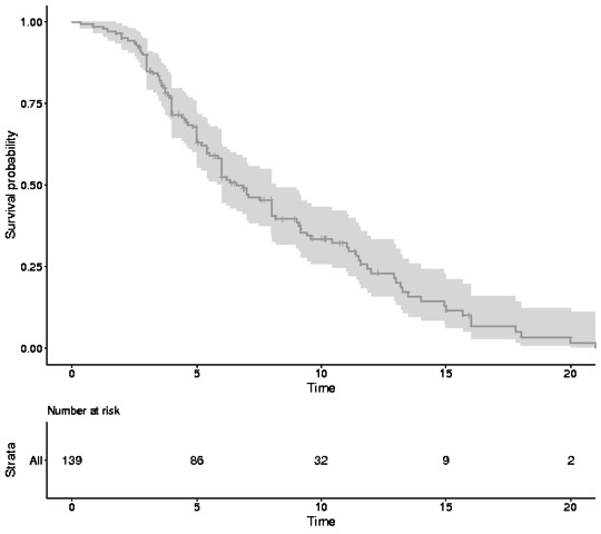
OBJECTIVE: To describe decline in muscle strength and physical function in patients with sporadic inclusion body myositis (IBM). METHODS: Manual muscle testing (MMT), quantitative muscle testing (QMT) and disability scoring using the IBM Functional Rating Scale (IBMFRS) were undertaken for 181 patients for up to 7.3 years. The relationship between MMT, QMT and IBMFRS composite scores and time from onset were examined using linear mixed effects models adjusted for gender and age of disease onset. Adaptive LASSO regression analysis was used to identify muscle groups that best predicted the time elapsed from onset. Cox proportional hazards regression was used to evaluate time to use of a mobility aid. RESULTS: Multilevel modelling of change in percentage MMT, QMT and IBMFRS score over time yielded an average decline of 3.7% (95% CI 3.1% to 4.3%), 3.8% (95% CI 2.7% to 4.9%) and 6.3% (95% CI 5.5% to 7.2%) per year, respectively. The decline, however, was not linear, with steeper decline in the initial years. Older age of onset was associated with a more rapid IBMFRS decline (p=0.007), but did not influence the rate of MMT/QMT decline. Combination of selected muscle groups allowed for generation of single measures of patient progress (MMT and QMT factors). Median (IQR) time to using a mobility aid was 5.4 (3.6-9.2) years, significantly affected by greater age of onset (HR 1.06, 95% CI 1.04 to 1.09, p<0.001). CONCLUSION: This prospective observational study represents the largest IBM cohort to date. Measures of patient progress evaluated in this study accurately predict disease progression in a reliable and useful way to be used in trial design.
| Type: | Article |
|---|---|
| Title: | Longitudinal observational study investigating outcome measures for clinical trials in inclusion body myositis. |
| Location: | England |
| Open access status: | An open access version is available from UCL Discovery |
| DOI: | 10.1136/jnnp-2020-325141 |
| Publisher version: | http://dx.doi.org/10.1136/jnnp-2020-325141 |
| Language: | English |
| Additional information: | This version is the author accepted manuscript. For information on re-use, please refer to the publisher’s terms and conditions. |
| Keywords: | Clinical trials, Cohort studies, Natural history studies, Outcome research, Muscle disease, Inclusion Body Myositis. |
| UCL classification: | UCL UCL > Provost and Vice Provost Offices > School of Life and Medical Sciences UCL > Provost and Vice Provost Offices > School of Life and Medical Sciences > Faculty of Brain Sciences UCL > Provost and Vice Provost Offices > School of Life and Medical Sciences > Faculty of Brain Sciences > UCL Queen Square Institute of Neurology UCL > Provost and Vice Provost Offices > School of Life and Medical Sciences > Faculty of Brain Sciences > UCL Queen Square Institute of Neurology > Department of Neuromuscular Diseases |
| URI: | https://discovery.ucl.ac.uk/id/eprint/10127803 |
Archive Staff Only
![]() |
View Item |

