Martinez-Gomez, D;
Ortega, FB;
Hamer, M;
Lopez-Garcia, E;
Struijk, E;
Sadarangani, KP;
Lavie, CJ;
(2019)
Physical Activity and Risk of Metabolic Phenotypes of Obesity: A Prospective Taiwanese Cohort Study in More Than 200,000 Adults.
Mayo Clinic Proceedings
, 94
(11)
pp. 2209-2219.
10.1016/j.mayocp.2019.04.042.
Preview |
Text (Article)
Hamer PA_ObesityPhenotypes_MayoClinic.pdf - Accepted Version Download (534kB) | Preview |
Preview |
Image (Figure 1)
Figure1MayoClinic.tiff - Accepted Version Download (43kB) | Preview |
Preview |
Image (Figure 2)
Figure2MayoClinic.tiff - Accepted Version Download (297kB) | Preview |
Abstract
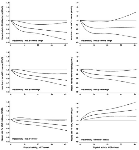
OBJECTIVE To examine the association between physical activity (PA) and the risk for metabolically unhealthy obesity (MUO) or metabolically healthy obesity (MHO) in Asian adults. PATIENTS AND METHODS Data were obtained from 205,745 healthy individuals 18 years or older. Individuals were classified as inactive, lower or upper insufficiently active, active, and high active. Metabolically unhealthy was defined as having 1 or more of the metabolic syndrome criteria, excluding the abdominal obesity criterion. RESULTS The percentages of metabolically healthy normal-weight (MHNW), metabolically healthy overweight (MHOW), MHO, and MUO in our cohort were 30.8% (63,408 of 205,745), 5.8% (12,002 of 205,745), 4.1% (8329 of 205,745), and 20.7% (42,564 of 205,745), respectively. During a mean follow-up of 6 (range, 0.5-19) years, among 63,408 MHNW participants, 1890 (3.0%) and 1174 (1.9%) developed MUO and MHO, respectively. Among 12,002 MHOW participants, 3404 (28.4%) developed MUO and 2734 (22.8%) developed MHO. A total of 5506 of 8329 (66.1%) participants moved from MHO to MUO, and 5675 of 42,564 (13.3%) moved from MUO to MHO. Compared with being inactive, MHNW individuals who were active or high active showed lower risk for MUO. Among those with MHOW, being high active was associated with reduced risk for MUO and MHO. Although among MHO participants, PA was not associated with incident MUO, being active or high active was linked to a greater likelihood of moving from MUO to MHO. CONCLUSION PA may prevent the development of both MHO and MUO. PA also helps increase the transition from MUO to MHO, which may contribute to reduce the subsequent development of type 2 diabetes mellitus and major cardiovascular disease complications.
| Type: | Article |
|---|---|
| Title: | Physical Activity and Risk of Metabolic Phenotypes of Obesity: A Prospective Taiwanese Cohort Study in More Than 200,000 Adults |
| Open access status: | An open access version is available from UCL Discovery |
| DOI: | 10.1016/j.mayocp.2019.04.042 |
| Publisher version: | https://doi.org/10.1016/j.mayocp.2019.04.042 |
| Language: | English |
| Additional information: | This version is the author accepted manuscript. For information on re-use, please refer to the publisher’s terms and conditions. |
| UCL classification: | UCL UCL > Provost and Vice Provost Offices > School of Life and Medical Sciences UCL > Provost and Vice Provost Offices > School of Life and Medical Sciences > Faculty of Medical Sciences UCL > Provost and Vice Provost Offices > School of Life and Medical Sciences > Faculty of Medical Sciences > Div of Surgery and Interventional Sci |
| URI: | https://discovery.ucl.ac.uk/id/eprint/10087423 |
Archive Staff Only
![]() |
View Item |

